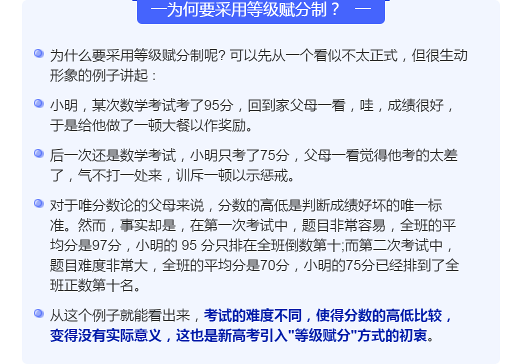
何为新高考?有何变化?怎么录取呢?
下面一起来看看官方图解:






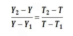
新高考的赋分制是如何算分的?









关于赋分制的热点问答


Q:
新高考改革,选择纯文组合,除了专业选择受限,赋分会吃亏吗?
Q:
考生考多少分才能被赋满分?
新高考实施赋分制,赋分制的合理之处体现在哪?
Q:
历史类考985 211的分数,会比物理类的高吗?
影响考生赋分成绩高低的因素有哪些?
Q:
为什么新高考后很多文科生考高分?
选择冷门学科,在赋分上是不是更占优势?
更多高考高报信息欢迎大家扫码添加【敏敏老师】,加入敏敏老师高考交流群!

扫码加"敏敏老师"微信
备注孩子姓名+年级进入年级微信群
声明:“敏学教育”所推送文章,除非确实无法确认,我们都会注明作者和来源。部分文章推送时未能与原作者取得联系。若涉及版权问题,烦请原作者联系我们,我们会在24小时内删除处理,谢谢!^_^